Hypertension, as one of the most important factors leading to cardiovascular disease and death, has become a major challenge to global public health. Against this background, how to prevent and control blood pressure through various means has become another important topic in this field.
The American Heart Association (AHA) published《2021 Dietary Guidance to Improve Cardiovascular Health》and emphasizes the importance of dietary patterns beyond individual food or nutrients and identifies healthy protein source choices as one of the important measures to improving cardiovascular health【1】. There is no consensus in the research community on the relationship between dietary protein intake and blood pressure levels. It is worth noting that previous studies have mainly focused on the intake of total protein, total animal protein, and total plant protein. These studies did not take into account that protein from specific food sources may have different effects on blood pressure【2】.

Not long ago, a study published in the《Hypertension》explored the relationship between the variety and quantity of proteins intake from 8 major food sources and new-onset hypertension among 12177 participants from the China Heath and Nutrition Survey. In the study, new-onset hypertension was defined as those with a systolic blood pressure (SBP) ≥140 mm Hg, or a diastolic blood pressure (DBP) ≥90 mm Hg, or a physician-diagnosed hypertension, or those who were receiving antihypertensive medication during the follow-up.
The study used a 24-hour retrospective method and a weighing method to survey respondents on their personal food intake for 3 consecutive days. In the study, total protein was divided into specific-sourced proteins that are: whole and refined grain, processed and unprocessed red meat, poultry, fish, egg, and legumes. The study found an overall U-shaped association between protein from different food sources and new-onset hypertension. That is, for each protein, there is an "optimal level" of intake at which the relative risk of new-onset hypertension is lowest (the energy provided by the source of protein as a % of total energy) .
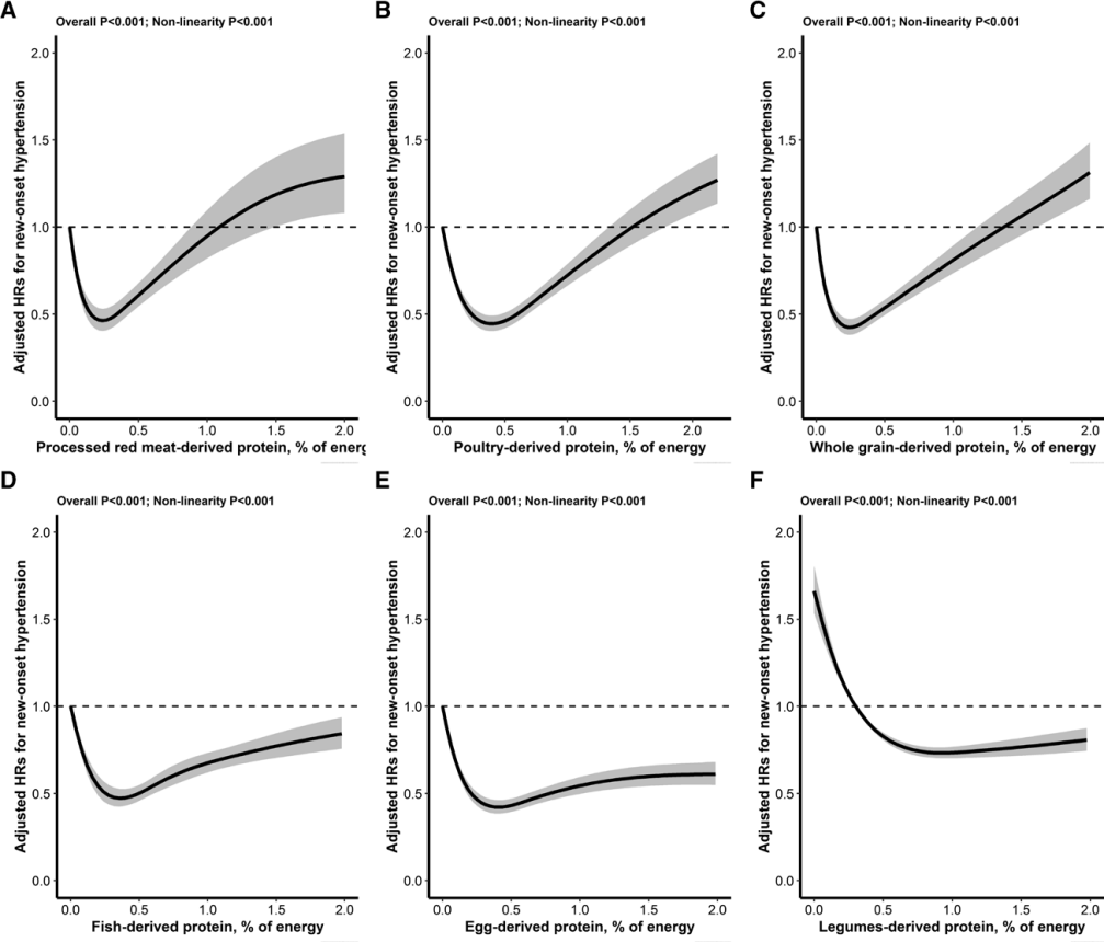
However, there are certain differences in the relationship between proteins from different sources and new-onset hypertension, which includes U-shaped, J-shaped, reverse J-shaped, L-shaped and reverse L-shaped associations (see Figure 1 and 2 below). During a median follow-up of 6.1 years, there were U-shaped associations of percentages energy from total, unprocessed or processed red meat-derived, whole grain-derived, and poultry-derived proteins with new-onset hypertension; a reverse J-shaped association of fish-derived protein with new-onset hypertension; L-shaped associations of eggs-derived and legumes-derived proteins with new-onset hypertension; and a reverse L-shaped association of refined grain-derived protein with new-onset hypertension (all P values for nonlinearity <0.001).
Figure 1 The relations of unprocessed red meat-derived protein, refined grain-derived protein with new-onset hypertension
Figure 2 The relations of other specific-sourced proteins intake with new-onset hypertension
The researchers calculated the variety score of protein sources. Score 1 when protein intake falls within the "optimal level" and 0 when it falls outside the "optimal level." Each food source has and only has a score of 1, with a total score up to 8. In this case, the variety score of protein sources can not only reflect the quality of protein intake, but also represent the diversity of protein intake.
After a series of calculations, the study finally found that the variety score of protein sources was negatively correlated with new-onset hypertension, and for every 1-point increase in the score, the risk of hypertension decreased by 26%; compared to participants with the lowest variety score for protein intake (less than 2), those with the highest variety score (4 or higher) had a 66% lower risk of developing high blood pressure.
In addition, the study has some other findings as below:
- Residents who consume more protein from legumes have a lower risk of developing high blood pressure. The reason is that the arginine contained in legume protein has a vasodilatory effect by being converted into nitric oxide. Besides, legume protein also increases insulin sensitivity and glucose tolerance, and has a certain role in controlling the risk of hyperinsulinemia and hypertension.
- Egg-derived protein intake was associated with a lower risk of developing hypertension. The protective effect of egg protein against hypertension is attributed to antihypertensive pepides. By stimulating the release of nitric oxide and prostacyclin, these active peptides inhibit angiotensin-converting enzyme, thereby positively affecting blood pressure.
- A moderate intake of grain-derived protein is beneficial to blood pressure. But eating too much grain-derived protein, especially refined grain-derived protein, may raise blood pressure.

All in all, this study provides ideas and insights to improve cardiovascular health by the balance of diets. The relationship between the variety of proteins from different food sources and new-onset hypertension is not always the same, but in the case of ensuring the appropriate intake of each protein, the higher the diversity of protein sources, the greater the helps on blood pressure.
References:
【1】Lichtenstein AH, Appel LJ, Vadiveloo M, et al. 2021 Dietary Guidance to Improve Cardiovascular Health: A Scientific Statement From the American Heart Association. Circulation. 2021;144(23):e472-e487. doi:10.1161/CIR.0000000000001031
【2】 Zhou C, et al. Inverse Association Between Variety of Proteins With Appropriate Quantity From Different Food Sources and New-Onset Hypertension. Hypertension. 2022 Mar 10:HYPERTENSIONAHA12118222. doi: 10.1161/HYPERTENSIONAHA.121.18222. Epub ahead of print. PMID: 35264000.



Leave a comment
This site is protected by hCaptcha and the hCaptcha Privacy Policy and Terms of Service apply.